The relationship between usage of social networking sites and meaning in life: Anonymous versus identifiable contexts
Vol.19,No.4(2025)
Social networking sites (SNSs) allow people to choose how they want to engage with others. Some behaviours are more associated with aspects of well-being (i.e., meaning in life) than others. Online environments also afford people the opportunity to interact with other people at varying levels of anonymity and identifiability, which could further impact well-being. However, whether people use SNSs differently when they are anonymous versus identifiable – and how this relates to their meaning in life – has not been investigated. To test this, we sampled 192 participants (Mage = 19.72) to investigate differences in how people use and post on SNSs while anonymous and identifiable. Furthermore, we assessed how these behaviours were associated with meaning in life. We found that: (1) People were most likely to use SNSs passively across anonymous and identifiable environments. (2) People were most likely to post about life updates/social activities in identifiable environments, and intellectual or negative topics in anonymous environments. (3) Passive usage was negatively associated with meaning in life in identifiable environments. (4) Active-targeted usage (behaviours that are directed towards a specific person or a small group) and posting about life updates/social activities were positively associated with meaning in life, but only in identifiable environments. We demonstrate that meaning in life is related to how people use SNSs, but also the specific online environments they seek out.
social media; social networking sites; anonymity; well-being; meaning in life
Lewis Nitschinsk
School of Psychology, University of Queensland, Brisbane, Australia
Lewis Nitschinsk is a Postdoctoral Research Fellow in the School of Psychology at the University of Queensland. His research focuses on why people seek anonymity in online environments, and how people use online environments for self-expression, identity discovery, and to engage in toxic behaviour.
Stephanie J. Tobin
School of Psychology and Counselling, Queensland University of Technology, Brisbane, Australia
Stephanie J. Tobin is a Senior Lecturer in the School of Psychology and Counselling at the Queensland University of Technology. Her research focuses on understanding how people use and are influenced by social media. In particular, she is interested in interpersonal goals, social comparison, and feedback and how they affect outcomes such as belonging and well-being.
Nino Gugushvili
Faculty of Psychology and Neuroscience, Maastricht University, Maastricht, The Netherlands
Nino Gugushvili is an assistant professor at Maastricht University in the Work and Social Psychology department of the Faculty of Psychology and Neuroscience. Her research centers on human-AI interaction (HAII), with a focus on how recent developments in AI influence both societal outcomes (e.g., misinformation, polarization) and individual well-being (e.g., harmful social comparisons, excessive technology use).
Carly A. McComb
School of Psychology, University of Queensland, Brisbane, Australia
Carly A. McComb is a doctoral researcher in the School of Psychology at the University of Queensland. Her research centers on social comparisons on social media.
Philippe Verduyn
Faculty of Psychology and Neuroscience, Maastricht University, Maastricht, The Netherlands
Philippe Verduyn is an associate professor at Maastricht University in the Work and Social Psychology department of the Faculty of Psychology and Neuroscience. His research centers on the relationship between social media and mental health.
Burke, M., & Kraut, R. E. (2016). The relationship between Facebook use and well-being depends on communication type and tie strength. Journal of Computer-Mediated Communication, 21(4), 265–281. https://doi.org/10.1111/jcc4.12162
Cantor, N. (1994). Life task problem solving: Situational affordances and personal needs. Personality and Social Psychology Bulletin, 20(3), 235–243. https://doi.org/10.1177/0146167294203001
Chen, M., & Peng, A. Y. (2023). Why do people choose different social media platforms? Linking use motives with social media affordances and personalities. Social Science Computer Review, 41(2), 330–352. https://doi.org/10.1177/08944393211049120
Christopherson, K. M. (2007). The positive and negative implications of anonymity in Internet social interactions: “On the Internet, nobody knows you’re a dog.” Computers in Human Behavior, 23(6), 3038–3056. https://doi.org/10.1016/j.chb.2006.09.001
Clark, J. L., Algoe, S. B., & Green, M. C. (2018). Social network sites and well-being: The role of social connection. Current Directions in Psychological Science, 27(1), 32–37. https://doi.org/10.1177/0963721417730833
Clark-Gordon, C. V., Bowman, N. D., Goodboy, A. K., & Wright, A. (2019). Anonymity and online self-disclosure: A meta-analysis. Communication Reports, 32(2), 98–111. https://doi.org/10.1080/08934215.2019.1607516
Costin, V., & Vignoles, V. L. (2020). Meaning is about mattering: Evaluating coherence, purpose, and existential mattering as precursors of meaning in life judgments. Journal of Personality and Social Psychology, 118(4), 864–884. https://doi.org/10.1037/pspp0000225
Dienlin, T., & Johannes, N. (2020). The impact of digital technology use on adolescent well-being. Dialogues in Clinical Neuroscience, 22(2), 135–142. https://doi.org/10.31887/DCNS.2020.22.2/tdienlin
Eklund, L., von Essen, E., Jonsson, F., & Johansson, M. (2022). Beyond a dichotomous understanding of online anonymity: Bridging the macro and micro level. Sociological Research Online, 27(2), 486–503. https://doi.org/10.1177/13607804211019760
Frison, E., & Eggermont, S. (2020). Toward an integrated and differential approach to the relationships between loneliness, different types of Facebook use, and adolescents’ depressed mood. Communication Research, 47(5), 701–728. https://doi.org/10.1177/0093650215617506
Gerson, J., Plagnol, A. C., & Corr, P. J. (2017). Passive and Active Facebook Use Measure (PAUM): Validation and relationship to the reinforcement sensitivity theory. Personality and Individual Differences, 117, 81–90. https://doi.org/10.1016/j.paid.2017.05.034
Godard, R., & Holtzman, S. (2024). Are active and passive social media use related to mental health, wellbeing, and social support outcomes? A meta-analysis of 141 studies. Journal of Computer-Mediated Communication, 29(1), Article zmad055. https://doi.org/10.1093/jcmc/zmad055
Grieve, R., & Watkinson, J. (2016). The psychological benefits of being authentic on Facebook. Cyberpsychology, Behavior, and Social Networking, 19(7), 420–425. https://doi.org/10.1089/cyber.2016.0010
Heintzelman, S. J., & King, L. A. (2014). Life is pretty meaningful. American Psychologist, 69(6), 561–574. https://doi.org/10.1037/a0035049
Heintzelman, S. J., & King, L. A. (2019). Routines and meaning in life. Personality and Social Psychology Bulletin, 45(5), 688–699. https://doi.org/10.1177/0146167218795133
Hite, D. M., Voelker, T., & Robertson, A. (2014). Measuring Perceived Anonymity: The Development of a Context Independent Instrument. Journal of Methods and Measurement in the Social Sciences, 5(1), https://doi.org/10.2458/v5i1.18305
Joinson, A. N. (2001). Self‐disclosure in computer‐mediated communication: The role of self‐awareness and visual anonymity. European Journal of Social Psychology, 31(2), 177–192. https://doi.org/10.1002/ejsp.36
Joinson, A. N. (2004). Self-esteem, interpersonal risk, and preference for e-mail to face-to-face communication. Cyberpsychology & Behavior, 7(4), 472–478. https://doi.org/10.1089/cpb.2004.7.472
Joinson, A. N. (2007). Disinhibition and the Internet. In J. Gackenbach (Ed.), Psychology and the Internet: Intrapersonal, interpersonal, and transpersonal implications (2nd ed., pp. 75–92). Academic Press. https://doi.org/10.1016/B978-012369425-6/50023-0
King, L. A., Heintzelman, S. J., & Ward, S. J. (2016). Beyond the search for meaning: A contemporary science of the experience of meaning in life. Current Directions in Psychological Science, 25(4), 211–216. https://doi.org/10.1177/0963721416656354
Kross, E., Verduyn, P., Sheppes, G., Costello, C. K., Jonides, J., & Ybarra, O. (2021). Social media and well-being: Pitfalls, progress, and next steps. Trends in Cognitive Sciences, 25(1), 55–66. https://doi.org/10.1016/j.tics.2020.10.005
Leavitt, A. (2015). “This is a throwaway account”: Temporary technical identities and perceptions of anonymity in a massive online community. Proceedings of the 18th ACM Conference on Computer Supported Cooperative Work & Social Computing, 317–327. https://doi.org/10.1145/2675133.2675175
Leung, L. (2013). Generational differences in content generation in social media: The roles of the gratifications sought and of narcissism. Computers in Human Behavior, 29(3), 997–1006. https://doi.org/10.1016/j.chb.2012.12.028
Lukoff, K., Yu, C., Kientz, J., & Hiniker, A. (2018). What makes smartphone use meaningful or meaningless? Proceedings of the ACM on Interactive, Mobile, Wearable and Ubiquitous Technologies, 2(1), 1–26. https://doi.org/10.1145/3191754
Lutz, S., & Schneider, F. M. (2021). Is receiving dislikes in social media still better than being ignored? The effects of ostracism and rejection on need threat and coping responses online. Media Psychology, 24(6), 741–765. https://doi.org/10.1080/15213269.2020.1799409
Marshall, T. C., Lefringhausen, K., & Ferenczi, N. (2015). The Big Five, self-esteem, and narcissism as predictors of the topics people write about in Facebook status updates. Personality and Individual Differences, 85, 35–40. https://doi.org/10.1016/j.paid.2015.04.039
Marx, G. T. (1999). What’s in a name? Some reflections on the sociology of anonymity. The Information Society, 15(2), 99–112. https://doi.org/10.1080/019722499128565
McComb, C. A., Vanman, E. J., & Tobin, S. J. (2023). A meta-analysis of the effects of social media exposure to upward comparison targets on self-evaluations and emotions. Media Psychology, 26(5), 612–635. https://doi.org/10.1080/15213269.2023.2180647
McKenna, K. Y. A., & Bargh, J. A. (2000). Plan 9 from cyberspace: The implications of the internet for personality and social psychology. Personality and Social Psychology Review, 4(1), 57–75. https://doi.org/10.1207/S15327957PSPR0401_6
Meier, A., & Reinecke, L. (2023). Social media and mental health: Reviewing effects on eudaimonic well-being. In R. L. Nabi & J. G. Myrick (Eds.), Emotions in the digital world: Exploring affective experience and expression in online interactions (pp. 215–234). Oxford University Press. https://doi.org/10.1093/oso/9780197520536.003.0012
Nitschinsk, L., Tobin, S. J., & Vanman, E. J. (2022). The disinhibiting effects of anonymity increase online trolling. Cyberpsychology, Behavior, and Social Networking, 25(6), 377–383. https://doi.org/10.1089/cyber.2022.0005
Nitschinsk, L., Tobin, S. J., & Vanman, E. J. (2025). A functionalist approach to seeking anonymity: Examining the role of motives, cost, and individual differences. Social Psychological and Personality Science, 16(3), 300–312. https://doi.org/10.1177/19485506231217523
Nitschinsk, L., Tobin, S. J., Varley, D., & Vanman, E. J. (2023). Why do people sometimes wear an anonymous mask? Motivations for seeking anonymity online. Personality and Social Psychology Bulletin, 150(70), 1099–1120 https://doi.org/10.1177/01461672231210465
Oliver, M. B. (2022). Social media use and eudaimonic well-being. Current Opinion in Psychology, 45, Article 101307. https://doi.org/10.1016/j.copsyc.2022.101307
Orben, A. (2020). Teenagers, screens and social media: A narrative review of reviews and key studies. Social Psychiatry and Psychiatric Epidemiology, 55(4), 407–414. https://doi.org/10.1007/s00127-019-01825-4
Postmes, T., Spears, R., & Lea, M. (1998). Breaching or building social boundaries?: SIDE-Effects of computer-mediated communication. Communication Research, 25(6), 689–715. https://doi.org/10.1177/009365098025006006
Raihani, N. J., & Power, E. A. (2021). No good deed goes unpunished: The social costs of prosocial behaviour. Evolutionary Human Sciences, 3, Article e40. https://doi.org/10.1017/ehs.2021.35
Riordan, B. C., Winter, T., Flett, J. A. M., Mason, A., Scarf, D., Jose, P. E., & Conner, T. S. (2022). Does the fear of missing out moderate the relationship between social networking use and affect? A daily diary study. Psychological Reports, 125(6), 3084–3099. https://doi.org/10.1177/00332941211040441
Ronzhyn, A., Cardenal, A. S., & Batlle Rubio, A. (2022). Defining affordances in social media research: A literature review. New Media & Society, 25(11), 3165–3188. https://doi.org/10.1177/14614448221135187
Rosseel, Y. (2012). lavaan: An R package for structural equation modeling. Journal of Statistical Software, 48(2), 1–16. https://doi.org/10.18637/jss.v048.i02
Rubin, A. (2009). Uses-and-gratifications perspective on media effects. In J. Bryant & M. B. Oliver (Eds.), Media effects: Advances in theory and research (3rd ed., pp. 165–184). Routledge.
Sagioglou, C., & Greitemeyer, T. (2014). Facebook’s emotional consequences: Why Facebook causes a decrease in mood and why people still use it. Computers in Human Behavior, 35, 359–363. https://doi.org/10.1016/j.chb.2014.03.003
Snyder, M., & Cantor, N. (1998). Understanding personality and social behavior: A functionalist strategy. In D. T. Gilbert, S. T. Fiske, & G. Lindzey (Eds.), The handbook of social psychology (4th ed., Vol. 1, pp. 635–679). McGraw-Hill.
Stavrova, O., & Luhmann, M. (2015). Social connectedness as a source and consequence of meaning in life. The Journal of Positive Psychology, 11(5), 470–479. https://doi.org/10.1080/17439760.2015.1117127
Steger, M. F., Frazier, P., Oishi, S., & Kaler, M. (2006). The meaning in life questionnaire: Assessing the presence of and search for meaning in life. Journal of Counseling Psychology, 53(1), 80–93. https://doi.org/10.1037/0022-0167.53.1.80
Taber, L., & Whittaker, S. (2020). “On Finsta, I can say ‘Hail Satan’”: Being authentic but disagreeable on Instagram. Proceedings of the 2020 CHI Conference on Human Factors in Computing Systems, 1–14, Article 55. https://doi.org/10.1145/3313831.3376182
Tao, M., & Ellison, N. B. (2023). “It’s your finsta at the end of the day . . . kind of”: Understanding emerging adults’ self-presentational changes on secondary accounts. Social Media + Society, 9(1). https://doi.org/10.1177/20563051231152812
Valkenburg, P. M., van Driel, I. I., & Beyens, I. (2022). The associations of active and passive social media use with well-being: A critical scoping review. New Media & Society, 24(2), 530–549. https://doi.org/10.1177/14614448211065425
van der Nagel, E., & Frith, J. (2015). Anonymity, pseudonymity, and the agency of online identity: Examining the social practices of r/Gonewild. First Monday, 20(3). https://doi.org/10.5210/fm.v20i3.5615
Verduyn, P., Gugushvili, N., & Kross, E. (2022). Do social networking sites influence well-being? The extended active-passive model. Current Directions in Psychological Science, 31(1), 62–68. https://doi.org/10.1177/09637214211053637
Verduyn, P., Gugushvili, N., Massar, K., Täht, K., & Kross, E. (2020). Social comparison on social networking sites. Current Opinion in Psychology, 36, 32–37. https://doi.org/10.1016/j.copsyc.2020.04.002
Verduyn, P., Ybarra, O., Résibois, M., Jonides, J., & Kross, E. (2017). Do social network sites enhance or undermine subjective well-being? A critical review. Social Issues and Policy Review, 11(1), 274–302. https://doi.org/10.1111/sipr.12033
Wang, J.-L., Wang, H.-Z., Gaskin, J., & Hawk, S. (2017). The mediating roles of upward social comparison and self-esteem and the moderating role of social comparison orientation in the association between social networking site usage and subjective well-being. Frontiers in Psychology, 8, Article 771. https://www.frontiersin.org/articles/10.3389/fpsyg.2017.00771
Wenninger, H., Krasnova, H., & Buxmann, P. (2019). Understanding the role of social networking sites in the subjective well-being of users: A diary study. European Journal of Information Systems, 28(2), 126–148. https://doi.org/10.1080/0960085X.2018.1496883
Yang, C. (2016). Instagram use, loneliness, and social comparison orientation: Interact and browse on social media, but don’t compare. Cyberpsychology, Behavior and Social Networking, 19(12), 703–708. https://doi.org/10.1089/cyber.2016.0201
Yeshua-Katz, D., & Hård af Segerstad, Y. (2020). Catch 22: The paradox of social media affordances and stigmatized online support groups. Social Media + Society, 6(4), Article 2056305120984476. https://doi.org/10.1177/2056305120984476
Authors’ Contribution
Lewis Nitschinsk: conceptualization, data curation, formal analysis, methodology, project administration, visualization, writing—original draft, writing—review & editing. Stephanie J. Tobin: conceptualization, methodology, supervision, writing—review & editing. Nino Gugushvili: formal analysis, writing—review & editing. Carly A. McComb: data curation, methodology, writing—review & editing. Philippe Verduyn: conceptualization, supervision, writing—review & editing.
Editorial Record
First submission received:
April 8, 2024
Revisions received:
February 24, 2025
June 10, 2025
Accepted for publication:
June 17, 2025
Editor in charge:
Lenka Dedkova
Introduction
Social networking sites (SNSs) allow people to choose how they want to engage with friends, family, peers, and their community (Ronzhyn et al., 2022). For instance, people can use instant messaging platforms to directly engage with friends and family, post or broadcast their thoughts and ideas to larger online communities or passively scroll and consume the content of others on their news feed (Verduyn et al., 2022). The affordances of SNSs can also influence the ways that people interact (Chen & Peng, 2023). For instance, people can often choose whether they want to be anonymous or identifiable while traversing the wide range of SNSs available. Yet, little research has assessed how being anonymous or identifiable is associated with the ways people use or post on SNSs.
Researchers are also increasingly interested in understanding how SNS use influences well-being (Dienlin & Johannes, 2020; Oliver, 2022). Most of this research has focused on hedonic forms of well-being (e.g., happiness and life satisfaction). However, with its integration into people’s day-to-day lives, the way people use SNSs may also be associated with eudaimonic aspects of well-being, such as meaning in life – the extent to which someone perceives their life as purposeful, significant, and coherent (King et al., 2016; Meier & Reinecke, 2023). To address this gap, we investigated the relationship between how people use and post on SNSs and meaning in life. Further, we examined how this relationship differs across anonymous and identifiable environments.
Social Networking Site Use
Uses and Gratifications theory argues that people select and use different forms of media to best achieve their goals (Rubin, 2009). SNSs allow people to pursue different goals, and as such, people engage in a variety of behaviours when they use these platforms (Kross et al., 2021). Some researchers have attempted to categorise these behaviours. For instance, SNS behaviours can be differentiated into active and passive use (Verduyn et al., 2017). Active usage refers to behaviours that facilitate exchanges with others. These can include posting status updates, commenting on posts, and private messaging (Burke & Kraut, 2016). On the other hand, passive usage involves monitoring the content of others without engaging with them. This can include scrolling news feeds, viewing other profiles, and reading others’ posts.
Although this dichotomy has been used widely, some researchers argue that it may be too broad (Godard & Holtzman, 2024; Valkenburg et al., 2022). More recent theoretical models have suggested it may be beneficial to explore additional decompositions of active SNS usage (Frison & Eggermont, 2020; Godard & Holtzman, 2024; Verduyn et al., 2022; Yang, 2016). For instance, the extended active-passive model argues that active usage can be decomposed in two ways (Verduyn et al., 2022).1 First, active behaviours can be targeted or nontargeted. Targeted usage includes behaviours that are directed towards a specific person or a small group (e.g., instant messaging, sharing memes with a small group of friends), whereas nontargeted behaviours are broader in their potential reach (e.g., writing a post on a forum or newsfeed). Second, active usage can differ in communion. The way people actively engage with other people online can range between warm, positive interactions, and cold, negative interactions (Wenninger et al., 2019). Whether a behaviour is warm or cold may be dependent on one’s motivations or the topic being discussed.
Social Networking Site Use and Meaning in Life
According to Uses and Gratifications theory people seek certain media to pursue goals. These goals often relate to aspects of one’s well-being (Nitschinsk et al., 2023; Rubin, 2009). Indeed, much research has examined the relationship between SNS use and well-being. Largely, it seems that this relationship depends on how people use these platforms (Kross et al., 2021; Orben, 2020). Active usage that is targeted towards a specific person or small group of people is more likely to promote reciprocity and build social connections, and as such, may be beneficial to one’s well-being. On the other hand, active-nontargeted usage is often broadcasted to a wider group of people and is less likely to allow for relationship maintenance or reciprocal social connections (Burke & Kraut, 2016; Verduyn et al., 2017; Wenninger et al., 2019). Finally, passive usage (e.g., monitoring the content of others without engaging with them) can diminish well-being as it may lead to feeling that SNS use is a waste of time (Sagioglou & Greitemeyer, 2014), or damaging upward social comparisons (McComb et al., 2023), though this effect may critically depend on the content being monitored.
Much of the above research has focused on hedonic aspects of well-being, such as happiness and life satisfaction. Less research, however, has focused on whether SNS use is associated with feeling that life is meaningful. Meaning in life is considered a cornerstone of well-being with a large and growing body of research showing that it is crucial to human functioning (Heintzelman & King, 2014). Perhaps a key difference of meaning in life in comparison to other aspects of well-being is that meaning can come from a variety of unique sources including mundane behaviours or activities that are apart of one’s everyday routine (Heintzelman & King, 2019; King et al., 2016). SNSs are often part of people’s day-to-day routine and can help them maintain social connections. As such, in line with Uses and Gratifications theory we propose that certain types of SNS usage, particularly those that can help maintain social connections may be associated with meaning in life (Meier & Reinecke, 2023; Oliver, 2022), whereas other behaviours may not instil the same sense of meaning (Lukoff et al., 2018).
For instance, posting about warm, positive topics or interacting with close others may be positively associated with meaning in life as it can be used to maintain social connections, or accrue social capital (Stavrova & Luhmann, 2016). On the other hand, passive usage may contribute to feelings of meaninglessness (Lukoff et al., 2018; Lutz & Schneider, 2021). Of course, whereas most research has explored how different types of SNS use are associated with well-being indicators, other factors (e.g., affordances available on SNSs) may also be associated with meaning in life.
Anonymity and Identifiability on Social Networking Sites
One additional factor that might influence how people use SNSs, and the relationship between SNS use and meaning in life, is the extent to which someone is anonymous or identifiable. Anonymity is often viewed as a continuum ranging in varying degrees between complete anonymity and full identifiability (Christopherson, 2007). Most online platforms allow people to be or perceive themselves to be anonymous in a variety of ways, including changing their identity (e.g., changing their profile name), or visually hiding who they are (e.g., changing their profile picture or toggling camera settings; Hite et al., 2014; Marx, 1999).
Decades of psychological research have shown that when people are anonymous, they often behave differently to when they are identifiable (Joinson, 2007). The Social Identity Model of Deindividuation Effects (SIDE) argues that when people are anonymous, they are more likely to act in accordance with group norms, which can influence behaviour in both positive and negative ways (Postmes et al., 1998). For instance, research has shown that when people are anonymous, they are more likely to engage in online trolling (Nitschinsk et al., 2022) but are also more likely to self-disclose (Clark-Gordon et al., 2019; Joinson, 2001, 2004; McKenna & Bargh, 2000).
Anonymity can also be viewed as an affordance available to people on SNSs. Choosing to be anonymous may have both advantages and disadvantages. For instance, anonymity may give people more freedom in how they wish to behave but may also mitigate opportunities to accrue reputational gains or social capital (Nitschinsk et al., 2025; Yeshua-Katz & Hård af Segerstad, 2020). Conversely, identifiability can foster opportunities for social connection and reputational gains (Raihani & Power, 2021). For an illustration of key distinctions between anonymous and identifiable SNS environments, see Table 1.
Table 1. Comparison of Anonymous Versus Identifiable Social Networking Site Environments.
|
|
Anonymous Contexts |
Identifiable Contexts |
|
Examples |
1. Throwaway account on Reddit |
1. Main Instagram account |
|
Advantages |
Freedom of expression and reduced social constraints |
Increased opportunity for social connection, social influence, and reputational gains |
|
Disadvantages |
Less opportunity for reputational gains and social capital |
Increased pressure to follow social norms |
SNSs offer users varying degrees of anonymity (Tao & Ellison, 2023). For instance, Reddit allows people to use pseudonyms when creating an account, whereas Facebook’s policy states that people should use their real name when creating an account (Eklund et al., 2022; van der Nagel & Frith, 2015). The gratifications available (e.g., social connection) may be different depending on how anonymous or identifiable a person is, and what type of behaviour they may be engaging in on a specific SNS. Due to these differences, people may use SNSs differently when they are anonymous or identifiable. Behaviours that potentially lead to increased social connection, reputational benefits, or are perceived as warm by others may be more likely to occur identifiably. For instance, people often self-present more norm-congruent identities on their primary accounts, where they are typically identifiable (Taber & Whittaker, 2020). On the other hand, people post about more negative personal topics or potentially controversial ideas using fake Instagram accounts, or throwaway accounts on Reddit compared to other SNSs (Leavitt, 2015; Leung, 2013; Tao & Ellison, 2023). Therefore, people may use anonymity when engaging in behaviours that are potentially controversial or perceived as cold by others.
As the gratifications available on SNSs may be different when a person chooses to be anonymous or identifiable, their behaviours may be differentially associated with meaning in life. Since passive SNS usage often involves consuming content in ways that feel anonymous regardless of profile type, and since this type of usage has been consistently linked to feelings of meaninglessness, passive behaviours should be negatively associated with meaning in life across both anonymous and identifiable environments (Lukoff et al., 2018; Lutz & Schneider, 2021). However, active-targeted usage may only be positively associated with meaning in life when people are identifiable because their behaviour can be attributed back to them, leading to social capital, reciprocity, and other social benefits that contribute to meaning in life (Raihani & Power, 2021). Active-nontargeted behaviours, which are broadcasted broadly and less likely to foster meaningful social connections, may not be significantly associated with meaning in life regardless of environment. Additionally, the type of content posted may interact with environment identifiability, with positive, socially rewarding topics being more strongly associated with meaning in life when posted identifiably where they can generate social capital and connection.
The Present Research
Based on the literature review above, this research addressed two key questions. First, we examined how the amount of time people spent engaging in different behaviours (i.e., active-targeted, active-nontargeted, passive usage) and posting about different topics (i.e., life updates/social activities, personal achievements, intellectual topics, diet and exercise, negative topics) differed between anonymous and identifiable environments on SNSs. Second, we explored how these usage patterns and posting behaviours in anonymous versus identifiable environments were associated with meaning in life.
We formulated the following hypotheses:
H1a: Passive behaviours will be the most prevalent usage type across both anonymous and identifiable environments.
H1b: Users will engage in significantly more active-targeted behaviours in identifiable environments compared to anonymous environments.
H2a: Users will post significantly more about controversial or negative topics in anonymous environments compared to identifiable environments.
H2b: Users will post significantly more about positive or socially rewarding topics in identifiable environments compared to anonymous environments.
H3a: Active-targeted behaviours will be positively associated with meaning in life in identifiable environments, but not anonymous environments.
H3b: Active-nontargeted behaviours will not be significantly associated with meaning in life in either anonymous or identifiable environments.
H3c: Passive behaviours will be negatively associated with meaning in life regardless of environment type.
H4: Posting about positive topics will be more strongly associated with meaning in life in identifiable environments than in anonymous environments.
We did not formulate specific hypotheses for how controversial or negative topics would be associated with meaning in life across environments. Such topics might be associated with meaning in life in anonymous environments, as anonymity often gives people the freedom to post about topics that they otherwise would not whilst identifiable. At the same time, as these topics are unlikely to help accrue social capital or connections, they might not be associated with meaning in life.
Methods
This study was approved by an institutional ethics review board. Interested readers can access R-Markdowns and raw data at: https://osf.io/fxbsz.
Participants
We recruited 219 first-year undergraduate students who completed the study for 0.5 a course credit. Participants were recruited through convenience sampling via the university's online research participation portal, where first-year undergraduate students can voluntarily sign up for available studies. While all first-year students had equal opportunity to see and select this study, participation was self-selected rather than randomly sampled. Data were collected between August and October in 2022. An attention check item was embedded within the survey (Please select Strongly agree). Twenty-seven participants were excluded for failing to pass this attention check (final N = 192, 138 women; 50 men, 2 non-binary, 2 undisclosed, Mage = 19.72, SD = 2.66, Range = 17–37). Additionally, 59% of participants reported being White, 33% Asian, and 7% other ethnicities. We conducted a sensitivity analysis using G*Power (within subjects analysis of variance (ANOVA), fixed effects, main effects, and interactions, α = .05). The minimum detectable effect size was ηp2 = .07 at 80% power, meaning we can detect medium effects.
Procedure
This study was administered online through Qualtrics. Participants could choose to participate in this study at any point after signing up via the university’s online portal. Once choosing to begin the study and providing consent, participants were asked to read the below description: “When using the Internet, sometimes we are identifiable and feel that other people can see who we are. At other times, however, we are anonymous and feel that other people do not know who we are. In the next section, we are interested in understanding your online usage in both identifiable and anonymous environments. Please aim to answer each question as accurately as you can.” Participants read this passage to ensure they understood the distinction between anonymous and identifiable environments.
Next, we used a within-subjects design whereby participants then completed scales of usage types and content types for when they are both anonymous and identifiable. Additionally, participants were asked how much time they spend per day using social media for non-work purposes whilst either anonymous or identifiable. Participants were randomly assigned to first answer questions about the SNS behaviour in either the anonymous or identifiable environment. All questions related to being identifiable and anonymous were clustered. Participants received the items within each environment in a randomised order. Next, participants answered several questionnaires related to their perceived meaning in life. Finally, participants completed a set of demographic questions, including age, gender, and ethnicity. In total, the study took approximately 20 minutes.
Measures
For scale reliabilities and descriptive statistics, see Table 2. Usage types and content types were assessed for when participants were in anonymous and identifiable online environments.
Usage Types
We assessed usage types using 14 items to assess active-targeted, active-nontargeted, and passive usage. To develop this questionnaire, we drew on prior conceptualizations and empirical measures of SNS usage behaviours. Specifically, we reviewed published scales that assessed social media use across different platforms (e.g., Frison & Eggermont, 2020; Gerson et al., 2017; Wang et al., 2017; Yang, 2016), identifying items that captured active-targeted, active-nontargeted, and passive behaviours. Where appropriate, we adapted existing items to generalize across SNSs rather than platform-specific features (e.g., Facebook, Instagram). For instance, we modified wording to ensure cross-platform applicability (e.g., replacing “status update” with “post”). Through this process, our final scale included 12 adapted items and two newly created items.
We assessed active-targeted usage using five items (e.g., How often do you comment or reply to a post or comment?), active-nontargeted usage using four items (e.g., How often do you post or upload something without tagging anyone?), and passive usage using five items (e.g., How often do you browse the homepage/newsfeed without leaving a comment?) on a 5-point scale (1 = never, 5 = a lot). Participants were told that choosing “a lot” means that about 100% of the time that you use social media, you perform that activity. All items were asked separately when participants were anonymous and when they were identifiable.
To view the full scale along with a complete explanation of how each item was developed, please see the supplementary materials. Additionally, we ran a confirmatory factor analysis on this scale. The factor analysis indicated good model fit. For the results of the confirmatory factor analysis and factor loadings see the supplementary materials.
Content Types
We assessed content types using a revised version of the Status Update Scale (Marshall et al., 2015). This scale assesses the frequency of posting about life updates/social activities using five items (e.g., My social activities), personal achievements using four items (e.g., Achieving my goals), intellectual themes using three items (e.g., My views on politics), and diet and exercise using two items (e.g., My exercise routine). All items were asked separately for when participants were anonymous and when they were identifiable. Again, we modified the items to reflect content types across all social media platforms and included four additional items for writing posts about negative topics (e.g., Something I am upset about). Items were measured on a 5-point scale (1 = never, 5 = a lot).
Meaning in Life
We assessed presence of meaning in life (e.g., I understand my life’s meaning) using the 10-item meaning in life questionnaire (Steger et al., 2006). The meaning in life questionnaire additionally assesses search for meaning in life (e.g., I am seeking a purpose or mission for my life) on a 7-point scale (1 = absolutely untrue, 7 = absolutely true). Correlational results between search for meaning in life and other focal variables are included in the supplementary R-markdown.2
Data Analysis
Our analytical approach was as follows. First, we conducted bivariate correlations between all focal variables. Second, we ran a within subjects ANOVA assessing the frequency of different SNS behaviours in anonymous and identifiable environments. Specifically, our predictor variables were SNS usage type (active-target, active-nontargeted, passive) and environment (anonymous, identifiable). Third, we ran an additional within subjects ANOVA assessing the frequency of posting about different topics on SNSs in anonymous and identifiable environments. Specifically, our predictor variables were content type (life updates/social activities, personal achievements, intellectual topics, diet and exercise, and negative topics) and environment. We performed Tukey adjustments when assessing the simple effects of significant main effects and interactions for both ANOVAs. Additionally, we conducted tests of robustness (Mauchly’s test of Sphericity) and heterogeneity (subgroup analysis), please see the supplementary R-markdown.
Fourth, we conducted two linear regressions. In model one, all usage types (active-targeted, active-nontargeted, and passive) in anonymous and identifiable environments were included as predictors. In model two, all content types (life updates/social activities, personal achievements, intellectual topics, diet and exercise, and negative topics) in anonymous and identifiable environments were included as predictors. In both models, we included age and gender (1 = female, 2 = male) as covariates. For both models, presence of meaning in life was the outcome variable. Additionally, we conducted tests of robustness (Cook’s Distance) and heterogeneity (Homoskedasticity), please see the supplementary R-markdown.
In both models, we included age and gender (1 = female, 2 = male) as covariates. Participants who identified as non-binary were not included in the above two models but were included in all other statistical analyses. The same pattern of results was found for within-subjects ANOVAs when participants who identified as non-binary were included or excluded from the analyses. We address differences in bivariate correlations across these two samples in the results section. For complete analyses see the supplementary R-markdown.
Results
The median time spent on social media for non-work purposes was 1–2 hours per day when identifiable and 1–10 minutes per day when anonymous. For all correlations, reliabilities, means, and standard deviations see Tables 2, 3, and 5.
Table 2. Reliabilities, and Descriptive Statistics for Presence of Meaning in Life,
Anonymous and Identifiable Usage Types, and Anonymous and Identifiable Content Types.
|
|
|
Cronbach’s Alpha (α) |
Mean (SD) |
|
Presence of Meaning Life |
.88 |
4.06 (0.91) |
|
|
Usage Type |
|
|
|
|
Anonymous |
Active-targeted |
.89 |
2.07 (1.07) |
|
|
Active-nontargeted |
.93 |
2.17 (1.30) |
|
|
Passive |
.94 |
2.89 (1.35) |
|
Identifiable |
Active-targeted |
.76 |
3.19 (0.80) |
|
|
Active-nontargeted |
.82 |
2.82 (0.99) |
|
|
Passive
|
.81 |
3.60 (0.83) |
|
Content Type |
|
|
|
|
Anonymous |
Life Updates/Social Activities |
.86 |
1.46 (0.75) |
|
|
Personal Achievements |
.81 |
1.40 (0.73) |
|
|
Intellectual |
.82 |
1.54 (0.81) |
|
|
Diet and Exercise |
.84 |
1.23 (0.61) |
|
|
Negative |
.94 |
1.56 (0.96) |
|
Identifiable |
Life Updates/Social Activities |
.71 |
2.36 (0.84) |
|
|
Personal Achievements |
.75 |
2.17 (1.03) |
|
|
Intellectual |
.82 |
1.90 (0.85) |
|
|
Diet and Exercise |
.78 |
1.48 (0.83) |
|
|
Negative |
.93 |
1.63 (0.90) |
Usage Types
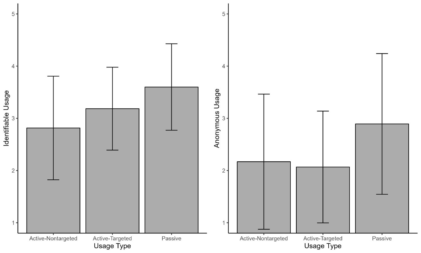
We found a significant interaction between environment and usage type; F(2,382) = 18.67, p < .001, ηp2 = .08. In identifiable environments, participants were significantly more likely to engage in passive usage than active-targeted or active-nontargeted usage, and further, were more likely to engage in active-targeted usage, compared to active-nontargeted usage (ps < .001, see Figure 1). In anonymous environments, participants were more likely to engage in passive usage than the other two groups (ps < .001), but we found no significant difference between active-targeted and active-nontargeted usage (p = .160).
Figure 1. Means of Usage Type in Identifiable and Online Environments.

Note. Bars represent mean of usage type; error bars represent standard deviation.
For the bivariate correlations, we found that presence of meaning in life was positively associated with active-targeted usage when identifiable, negatively correlated with active-nontargeted usage when anonymous, and negatively correlated with passive usage when both anonymous and identifiable (see Table 3). All other correlations with presence of meaning in life were not significant.3
Table 3. Bivariate Correlations for Presence of Meaning in Life and Active-Targeted,
Active-Nontargeted, and Passive Behaviours in Anonymous and Identifiable Online Environments.
|
|
1 |
2 |
3 |
4 |
5 |
6 |
|
1. Presence of Meaning in Life |
|
|
|
|
|
|
|
2. Anonymous Active-targeted |
−.06 |
|
|
|
|
|
|
3. Anonymous Active-nontargeted |
−.16* |
.66*** |
|
|
|
|
|
4. Anonymous Passive |
−.24*** |
.57*** |
.58*** |
|
|
|
|
5. Identifiable Active-targeted |
.17* |
.17* |
.04 |
−.06 |
|
|
|
6. Identifiable Active-nontargeted |
−.08 |
.21** |
.45*** |
.20** |
.30*** |
|
|
7. Identifiable Passive |
−.24*** |
.06 |
.19** |
.33*** |
.20** |
.42*** |
|
Note: p < .05*, p < .01**, p < .001***. |
||||||
For the linear models, we found that active-targeted usage in identifiable environments was positively associated with presence of meaning in life, whereas active-targeted usage in anonymous environments was not significantly associated (see Table 3). Passive use was negatively associated with presence of meaning in life in identifiable environments, but not in anonymous environments. Finally active-nontargeted usage was not significantly associated with presence of meaning in life in either anonymous or identifiable environments.
Table 4. Linear Regression for Age, Gender, and Active-Targeted, Active-Nontargeted, and Passive Usage in Anonymous and Identifiable Online Environments as Predictors of Presence of Meaning in Life.
|
Predictors |
β |
SE |
95% CI |
p |
|
(Intercept) |
3.38 |
0.07 |
[1.54, 5.21] |
< .001 |
|
Age |
0.06 |
0.07 |
[−0.08, 0.20] |
.431 |
|
Gender |
0.14 |
0.07 |
[−0.01, 0.28] |
.061 |
|
Active-targeted |
|
|
|
|
|
Anonymous |
0.04 |
0.11 |
[−0.17, 0.25] |
.712 |
|
Identifiable |
0.24 |
0.08 |
[0.08, 0.39] |
.003 |
|
Active-nontargeted |
|
|
|
|
|
Anonymous |
−0.03 |
0.11 |
[−0.24, 0.19] |
.799 |
|
Identifiable |
0.05 |
0.09 |
[−0.13, 0.22] |
.583 |
|
Passive |
|
|
|
|
|
Anonymous |
−0.15 |
0.10 |
[−0.34, 0.05] |
.137 |
|
Identifiable |
−0.25 |
0.08 |
[−0.41, −0.08] |
.004 |
|
Note. Estimates for intercepts are unstandardized, whereas all other estimates are standardized. SE = Standard Error. 95% CI = 95% Confidence Intervals. |
||||
Content Types
Again, we found a significant interaction between environment and content type; F(4,764) = 64.51, p < .001, ηp2 = .25. In identifiable environments, participants were most likely to post about life updates/social activities and personal achievements and were least likely to post about diet and exercise (see Figure 2). In anonymous environments, people were most likely to post about intellectual or negative topics and were least likely to post about diet and exercise. Full results of differences between each content type are available in supplementary R-markdown.
Figure 2. Means of Content Type in Identifiable and Online Environments.

Note. Bars represent mean of content type; error bars represent standard deviation.
For the correlational analyses, we found that posting about life updates/social activities and diet and exercise when identifiable was positively associated with presence of meaning in life (see Table 5). No other correlation with presence of meaning in life was significant.
Table 5. Bivariate Correlations for Presence of Meaning in Life and Posting About Life Updates/Social Activities, Personal Achievements, Intellectual Topics, Diet and Exercise, and Negative Topics in Anonymous and Identifiable Online Environments.
|
|
1 |
2 |
3 |
4 |
5 |
6 |
7 |
8 |
9 |
10 |
|
1. Presence of Meaning in Life |
|
|
|
|
|
|
|
|
|
|
|
2. Anonymous Life Updates/Social Activities Posts |
−.06 |
|
|
|
|
|
|
|
|
|
|
3. Anonymous Personal Achievement Posts |
−.02 |
.87*** |
|
|
|
|
|
|
|
|
|
4. Anonymous Intellectual Posts |
−.07 |
.71*** |
.71*** |
|
|
|
|
|
|
|
|
5. Anonymous Diet and Exercise Posts |
.08 |
.72*** |
.70*** |
.61*** |
|
|
|
|
|
|
|
6. Anonymous Negative Posts |
−.07 |
.69*** |
.66*** |
.78*** |
.61*** |
|
|
|
|
|
|
7. Identifiable Life Updates/Social Activities Posts |
.16* |
.36*** |
.34*** |
.34*** |
.35*** |
.43*** |
|
|
|
|
|
8. Identifiable Personal Achievement Posts |
.12 |
.35*** |
.44*** |
.37*** |
.34*** |
.41*** |
.70*** |
|
|
|
|
9. Identifiable Intellectual Posts |
.06 |
.35*** |
.40*** |
.50*** |
.45*** |
.50*** |
.63*** |
.71*** |
|
|
|
10. Identifiable Diet and Exercise Posts |
.21** |
.37*** |
.36*** |
.31*** |
.56*** |
.39*** |
.54*** |
.60*** |
.55*** |
|
|
11. Identifiable Negative Posts |
−.03 |
.41*** |
.43*** |
.47*** |
.45*** |
.60*** |
.52*** |
.55*** |
.72*** |
.44*** |
|
Note. p < .05*, p < .01**, p < .001***. |
||||||||||
For the linear models, we found that posting about life updates/social activities was positively associated with presence of meaning in life in identifiable environments (see Table 6). Posting about any topic in anonymous environments was not significantly associated with presence of meaning in life.
Table 6. Linear Regression for Age, Gender, and Posting About Life Updates/Social Activities, Personal Achievements, Intellectual Topics, Diet and Exercise, and Negative Topics in Anonymous and Identifiable Online Environments as Predictors of Presence of Meaning in Life.
|
Predictors |
β |
SE |
95% CI |
p |
|
|
Intercept |
2.51 |
0.07 |
[−0.14, 0.14] |
.003 |
|
|
Age |
0.06 |
0.08 |
[−0.09, 0.21] |
.407 |
|
|
Gender |
0.07 |
0.08 |
[−0.08, 0.23] |
.333 |
|
|
Life Updates/Social Activities |
|
|
|
|
|
|
Anonymous |
−0.31 |
0.17 |
[−0.64, 0.03] |
.071 |
|
|
Identifiable |
0.22 |
0.11 |
[0.01, 0.44] |
.049 |
|
|
Personal Achievements |
|
|
|
|
|
|
Anonymous |
0.10 |
0.17 |
[−0.23, 0.44] |
.543 |
|
|
Identifiable |
0.02 |
0.13 |
[−0.23, 0.27] |
.871 |
|
|
Intellectual Topics |
|
|
|
|
|
|
Anonymous |
−0.01 |
0.14 |
[−0.28, 0.26] |
.923 |
|
|
Identifiable |
−0.03 |
0.14 |
[−0.30, 0.24] |
.834 |
|
|
Diet and Exercise |
|
|
|
|
|
|
Anonymous |
0.24 |
0.13 |
[−0.03, 0.50] |
.081 |
|
|
Identifiable |
0.12 |
0.11 |
[−0.10, 0.33] |
.282 |
|
|
Negative Topics |
|
|
|
|
|
|
Anonymous |
−0.08 |
0.13 |
[−0.34, 0.18] |
.552 |
|
|
Identifiable |
−0.13 |
0.11 |
[−0.35, 0.09] |
.256 |
|
|
Note. Estimates for intercepts are unstandardized, whereas all other estimates are standardized. SE = Standard Error. 95% CI = 95% Confidence Intervals. |
|||||
Discussion
Much research has explored how different types of SNS use are associated with aspects of well-being, such as meaning in life. Less work, however, has explored whether different affordances available on SNSs – such as the ability to be anonymous – may influence these associations. In line with Uses and Gratifications theory, we argue that the gratifications available when someone is anonymous or identifiable are different, and as such, anonymity may influence how various SNS behaviours are associated with meaning in life. Overall, we found that people were most likely to use SNSs passively – compared to active-targeted or active-nontargeted – within both anonymous and identifiable environments (supporting H1a). Additionally, we found that participants engaged in more active-targeted usage in identifiable environments (supporting H1b) was positively associated with meaning in life whereas this was not the case in anonymous environments (supporting H3a).
Active-targeted SNS usage can be beneficial to one’s well-being as it can help accrue various social benefits, including social capital, social connectedness, and relationship maintenance (Dienlin & Johannes, 2020; Frison & Eggermont, 2020; Verduyn et al., 2022). Further, functionalist approaches to social psychology argue that situational affordances – such as anonymity – guide one’s behaviour (Cantor, 1994; Nitschinsk et al., 2025;
Snyder & Cantor, 1998). The social benefits of active-targeted usage are maximised when people are identifiable, as their actions are more likely to be acknowledged and remembered by others. In anonymous environments these benefits are more difficult to obtain as certain behaviours cannot as easily be attributed to someone or cannot be remembered over time. As such, active-targeted usage should be most prominent, and most beneficial, in identifiable environments.
Active-nontargeted use, regardless of context, was not related to the presence of meaning in life. The only exception to this, however, was at the bivariate level, where anonymous active-nontargeted usage was weakly negatively associated with the presence of meaning in life (partially supporting H3b). Previous research has suggested active-nontargeted usage should have less of an effect on one’s well-being as it is less likely to lead to the social benefits of more targeted usage (Yang, 2016). As such, it is unsurprising that across both identifiable and anonymous environments active-nontargeted usage has little association with one’s meaning in life.
Passive usage was the most popular way participants used SNSs but was negatively associated with meaning in life in both identifiable and anonymous (bivariate correlations only) environments (partially supporting H3c). Passive use has sometimes been found to positively predict hedonic forms of well-being, potentially because passively scrolling through entertaining content can be enjoyable (Lukoff et al., 2018). However, as passive usage on SNSs is less likely to create fulfilling social interactions it may feel meaningless (Clark et al., 2018; Dienlin & Johannes, 2020). Potentially, this effect was more salient in identifiable environments as passive usage is typically not visible to other users (though some are, such as viewing a story on Instagram), meaning that people may be less likely to specifically seek anonymous environments to engage in passive behaviours (Nitschinsk et al., 2023).
We also explored the different types of content that people post in identifiable and anonymous environments. For identifiable environments, we found that people were most likely to share content that is typically positive or warm (e.g., posting about life updates/social activities, supporting H2a). As identifiable spaces offer the opportunity for reputational benefits people are more likely to self-present in a way that would be viewed positively by others (Nitschinsk et al., 2023; Raihani & Power, 2021). For anonymous environments we found that people were most likely to share content that is typically less positive or more controversial (e.g., posting about negative and intellectual topics, supporting H2b). Anonymous environments may offer people the opportunity to present different aspects of the self that may be less norm-congruent, as they feel less vulnerable towards the judgement of others (Grieve & Watkinson, 2016).
Posting about life updates/social activities was positively associated with meaning in life in identifiable environments, but not in anonymous environments (supporting H4). Additionally, posting about diet and exercise was also positively associated with meaning in life while identifiable, but only at the bivariate level. Previous research has suggested that more agreeable and positive content on SNSs should best promote interpersonal ties (Verduyn et al., 2022). Posting about one’s recent social activities and successes in their diet and exercise are typically viewed as agreeable or positive topics; however, only in identifiable environments are people likely to reap the potential benefits of presenting these self-aspects. Overall, the above differences in content type across anonymous and identifiable environments further indicate the value of a more nuanced approach to SNS research.
Implications, Limitations, and Future Directions
SNSs are unique environments that allow people to interact with one another in a variety of ways. Furthermore, the ways in which people choose to use these platforms are often related to well-being, including meaning in life, both positively and negatively (Kross et al., 2021). The first implication of our research is that it is not only about how people behave on SNSs but also how they choose to use the affordances available, such as anonymity. When people choose to be anonymous or identifiable, the gratifications available on any given SNS change, and with them, the association between behaviour and meaning in life shifts. Practically, our study provides further insight into when SNS usage is most likely to be associated with the best outcomes. People who engage in targeted interactions (e.g., chatting with friends or loved ones) or post about warm, positive topics (e.g., holidays, birthdays) while identifiable tend to perceive their lives as more meaningful. However, when these same behaviours are carried out anonymously, the association with meaning in life no longer holds.
This study has some limitations. First, our study used a cross-sectional design, which limits the possible conclusions that we can draw. Therefore, future research should look to experimentally manipulate anonymity and behaviour and assess the impact on well-being, or further, use longitudinal designs to explore why people choose to seek anonymity on SNSs. Second, whereas it was unsurprising that participants were more likely to use SNSs identifiability compared to anonymously, reported anonymous SNS usage was quite low. Since we measured participants' perceived behaviours and not actual usage, the reported frequency of usage may partially reflect participants' perceptions or hypothetical preferences rather than their real-world behaviours.
Third, some items in our measures demonstrated moderate factor loadings between 0.5 and 0.6. These results meet conventional thresholds; however, the lack of strong factor loadings may reflect variability in the latent constructs. This may partly reflect that social media behaviour is often context-dependent and thus difficult to assess in a single, static scale. As such, these moderate loadings may slightly attenuate the reliability of the findings in this study.
Fourth, for this study we assessed SNSs generally, rather than comparing specific SNSs. A potential limitation of this approach is that platforms facilitate being anonymous differently, and therefore, the accessibility of anonymity may impact its prevalence on specific sites, and its relationship with meaning in life. As such, future research should explore identifiable and anonymous SNS use across multiple platforms. Fifth, our student sample included significantly more females than males, which reduces the generalisability of our findings. Past literature on gender differences in the relationship between SNS usage and well-being are largely mixed (Riordan et al., 2022). From our findings, we did not find any gender effects. Nonetheless, future research should endeavour to examine the effect of SNS usage across more balanced and diverse samples. Finally, future research should also look to integrate how other affordances of SNSs (e.g., asynchronous communication) influence the relationship between SNS usage and well-being.
In sum, our study explored the complex relationship between SNS use and meaning in life. We showed that it is not only how people use SNSs that influences meaning in life, but also the environment they choose to seek out. People who remain identifiable while chatting with specific others and sharing positive everyday experiences, are most likely to feel that their life is meaningful.
Footnotes
1 The extended active-passive model additionally explores decompositions of passive use. However, these decompositions focus on the different content that can be viewed, rather than different behaviours associated with passive usage (Verduyn et al., 2022). In this study, we focused only on decompositions of active use.
2 We also assessed an alternative measure of meaning in life using the multidimensional meaning in life scale (Costin & Vignoles, 2020). All items in the scale were used as a single measure. Again, results between this scale and focal variables are included in the supplementary R-markdown.
3 We found that anonymous active-nontargeted usage was not significantly associated with presence of meaning in life when participants who identified as nonbinary were excluded from the bivariate analyses, (r = −.11, p = .128). Otherwise, bivariate correlations were consistent across both samples. For complete analyses see the supplementary R-markdown.
Conflict of Interest
The authors have no conflicts of interest to declare.
Use of AI Services
The authors declare they have used AI services, specifically ChatGPT and Claude, for grammar correction and minor style refinements. They carefully reviewed all suggestions from these services to ensure the original meaning and factual accuracy were preserved.
Acknowledgement
The authors have no conflicts of interest to declare.
Appendix
Assessing Usage Types and Content Types
Description
When using the Internet, sometimes we are identifiable and feel that other people can see who we are. At other times, however, we are anonymous and feel that other people do not know who we are. In the next section, we are interested in understanding your online behaviour in both identifiable and anonymous environments. Please aim to answer each question as accurately as you can.
The below questions are asking about your online behaviour when you are ANONYMOUS.
On average, how much time per day do you spend using social media or forum websites while anonymous for non-work purposes?
How frequently do you perform the following activities when you are anonymous on social media, a social networking site, or a blog?
(Note: Choosing “A lot” means that about 100% of the time that you use social media while anonymous, you perform that activity).
How frequently do you post about the following topics on social media while anonymous?
The below questions are asking about your online behaviour when you are IDENTIFIABLE.
On average, how much time per day do you spend using social media or forum websites while identifiable for non-work purposes?
How frequently do you perform the following activities when you are identifiable on social media, a social networking site, or a blog?
(Note: Choosing “A lot” means that about 100% of the time that you use social media while identifiable, you perform that activity).
How frequently do you post about the following topics on social media while identifiable?
SNS Activities Scale (Usage Types)
(1 = never, 5 = a lot)
Active Targeted
- How often do you comment or reply to a post or comment?
- How often do you give a like/reaction/upvote to a post or comment?
- How often do you tag others in other people’s posts or comments?
- How often do you send or reply to a personal message/direct message?
- How often do you chat/converse with someone?
Active Nontargeted
- How often do you post or upload something without tagging anyone?
- How often do you post a message or status without tagging anyone?
- How often do you post a photo or a video without tagging anyone?
- How often do you post something that is not directed towards specific people?
Passive
- How often do you browse the homepage/newsfeed without leaving a comment?
- How often do you read through a message thread without leaving a comment?
- How often do you view someone’s updates or posts?
- How often do you visit someone’s online profile without leaving a comment or message?
- How often do you view others’ photos or videos?
Status Update Scale (Content Types), Marshall et al. (2015)
(1 = never, 5 = very often)
Social activities and everyday life
- My social activities
- Something funny that happened to me
- My everyday activities
- My pets
- Sporting Events
Intellectual themes
- My views on politics
- Current events
- Research and science
- My own creative output (e.g., art, writing, research)
Achievement Orientation
- Achieving my goals
- My accomplishments
- Work or school
Diet and exercise
- My exercise routine
- My diet
Negative
- Something I’m upset about
- Something I did not like
- Something I found annoying
- Something that made me feel sad
Scale Development
To develop the SNS usage scale we drew on prior conceptualizations and empirical measures of SNS usage behaviours. Items from other scales were adjusted to reflect how SNSs are used broadly, rather than being site specific. One original item was included in active-targeted usage to reflect liking/reacting/upvoting behaviour as this type of active-targeted behaviour was not reflect in previously scales. Additionally, one additional item was included in passive usage to reflect reading a message thread, rather than browsing a sites homepage/newsfeed.
Active Targeted
- How often do you comment or reply to a post or comment?
- Yang et al. (2016): How often do you comment on or reply to others’ posts?
- How often do you give a like/reaction/upvote to a post or comment?
- Original item
- How often do you tag others in other people’s posts or comments?
- Yang et al. (2016): How often do you tag others in posts or comments?
- How often do you send or reply to a personal message/direct message?
- Frison & Eggermont (2020): How often do you send someone a personal message on Facebook?
- How often do you chat/converse with someone?
- Frison & Eggermont (2020): How often do you chat with someone on Facebook?
Active Nontargeted
- How often do you post or upload something without tagging anyone?
- Yang et al. (2016): How often do you post/upload on your profile without tagging anyone?
- How often do you post a message or status without tagging anyone?
- Frison & Eggermont (2020): How often do you post a message on your own Facebook timeline?
- How often do you post a photo or a video without tagging anyone?
- Frison & Eggermont (2020): How often do you post a photo on your own Facebook timeline?
- How often do you post something that is not directed towards specific people?
- Yang et al. (2016): How often do you post something that is not directed to specific people?
Passive
- How often do you browse the homepage/newsfeed without leaving a comment?
- Yang et al. (2016): How often do you browse the home page/newsfeed without leaving comments?
- How often do you read through a message thread without leaving a comment?
- Original item.
- How often do you view someone’s updates or posts?
- Wang et al., (2017): How frequently do you view others’ updates when logging on SNSs?
- How often do you visit someone’s online profile without leaving a comment or message?
- Yang et al. (2016): How often do you check out others’ profiles without leaving comments?
- How often do you view others’ photos or videos?
- Wang et al., 2017: How often do you view others’ photos when logging on SNSs?
Confirmatory Factor Analysis
We used the lavaan package (Rosseel, 2012) to conduct two confirmatory factor analyses for the SNS usage scale. This scale is based on previous scales assessing online usage of social media platforms, such as Instagram and Facebook (Frison & Eggermont, 2020; Gerson et al., 2017; Wang et al., 2017; Yang, 2016). To evaluate model fit, the comparative fit index (CFI), standardized root mean residual (SRMR), and the root mean squared error of approximation (RMSEA) were used. To determine acceptable fit, we used the following cut-offs: CFI > 0.90, RMSEA < 0.07, and SRMR < 0.08 (Cheung & Rensvold, 2002). We aimed to fit the pre-defined three-factor structure (active-targeted, active-nontargeted, passive) for anonymous and identifiable SNS use.
Anonymous. For anonymous SNS usage types, the three-factor solution showed satisfactory model fit,
χ2(74) = 151.16, p < .001, CFI = .967, RMSEA = .074, 95% CI [.057, .090], SRMR = .057. However, fit indices showed larger-than-expected covariances not captured by the initial model structure. As such, modification indices were examined to assess misfit. Modification indices suggested that one item pair (Item 4: How often do you send or reply to a personal message/direct message and Item 5: How often do you chat/converse with someone?) had larger than expected covariances, potentially due to the similarity in the items' wording or content. Parameter constraints were freed for this item pair. The modified three-factor structure demonstrated improved model fit, χ2(73) = 108.76, p < .001, χ2Δ (73) = 42.40, p < .001, CFI = .985, RMSEA = .051, 95% CI [.029, .070], SRMR = .042. Loadings for the anonymous active-targeted subscale ranged between .734 – .851. Loadings for the anonymous active-nontargeted subscale range between .775–.927. Loadings for the anonymous passive subscale .832–.913 (see Table A1). To assess an alternative model fit, we additionally entered all items on a single factor. The overall model fit for a one-factor solution was poor, χ2(77) = 873.40, p < .001, CFI = .660, RMSEA = .232, 95% CI [.218, .246], SRMR = .117.
Identifiable. For anonymous SNS usage types, the three-factor solution showed satisfactory model fit, χ2(74) = 146.76, p < .001, CFI = .921, RMSEA = .072, 95% CI [.054, .088], SRMR = .066. However, fit indices showed larger-than-expected covariances not captured by the initial model structure. As such, modification indices were examined to assess misfit. As with the anonymous model, modification indices suggested that one item pair (Item 4: How often do you send or reply to a personal message/direct message and Item 5: How often do you chat/converse with someone?) had larger than expected covariances, potentially due to the similarity in the items' wording or content. Parameter constraints were freed for this item pair. The modified three-factor structure demonstrated improved model fit, χ2(73) = 115.07, p < .001, χ2Δ (73) = 31.69, p < .001, CFI = .954, RMSEA = .055, 95% CI [.035, .073], SRMR = .054. Loadings for the identifiable active-targeted subscale ranged between .525–.670. Loadings for the identifiable active-nontargeted subscale range between .531 – .907 Loadings for the identifiable passive subscale .659–.729 (see Table A1). To assess an alternative model fit, we additionally entered all items on a single factor. The overall model fit for a one-factor solution was poor, χ2(77) = 494.29, p < .001, CFI = .546, RMSEA = .168, 95% CI [.154, .182], SRMR = .137.
Table A1. Factor Loadings for Anonymous and Identifiable SNS Usage Types.
|
Number |
Items |
Loadings Anonymous |
Loadings Identifiable |
|
AT1 |
How often do you comment or reply to post or comment? |
.851 |
.670 |
|
AT2 |
How often do you give a like/reaction/upvote to a post or comment? |
.749 |
.608 |
|
AT3 |
How often do you tag others in other people’s posts or comments? |
.734 |
.624 |
|
AT4 |
How often do you send or reply to a personal message/direct message? |
.790 |
.525 |
|
AT5 |
How often do you chat/converse with someone? |
.806 |
.546 |
|
AN1 |
How often do you post or upload something without tagging anyone? |
.927 |
.907 |
|
AN2 |
How often do you post a message or status without tagging anyone? |
.894 |
.705 |
|
AN3 |
How often do you post a photo or a video without tagging anyone? |
.922 |
.792 |
|
AN4 |
How often do you post something that is not directed towards specific people? |
.775 |
.531 |
|
PA1 |
How often do you browse the homepage/newsfeed without leaving a comment? |
.840 |
.729 |
|
PA2 |
How often do you read through a message thread without leaving a comment? |
.832 |
.691 |
|
PA3 |
How often do you view someone’s updates or posts? |
.909 |
.688 |
|
PA4 |
How often do you visit someone’s online profile without leaving a comment or message? |
.843 |
.679 |
|
PA5 |
How often do you view others’ photos or videos? |
.913 |
.659 |
|
Note. AT = Active-Targeted Behaviour, AN = Active-Nontargeted Behaviour, PA = Passive Behaviour. |
|||

This work is licensed under a Creative Commons Attribution-ShareAlike 4.0 International License.
Copyright © 2025 Lewis Nitschinsk, Stephanie J. Tobin, Nino Gugushvili, Carly A. McComb, Philippe Verduyn

